√画像をダウンロード }CN WbNI[^ N«×µ 248488
#u Eø t;õs 3» PAÇE ¿ÿMüë È èYe ‹tPA¢Ä ÇfË \A Ç}¸5Ç ‹8( »#PAW‹»#PA‹G‹w8wT ·O ‹‡Àƒøtl Çø3Ò;D t ;D v ƒÂ(IuîƒÂØ‹ð t t ë ‹t ³ÙPAV‹N ‹6d‹=,‹?ó¤^ƒ~ t ‹v ë jj h@‹ ƒøv ÿÐƒÆ ƒ>uæZ_^É U‹ìƒÄîÆáZЀ 66 '²Âv¿œˆ E(FŽ@€ ÐÀ¨ \5v'À PTÃ7Ê ³tPA_Üë k½H¿`ú « PAËÜ E  e M wÙ ê†>#u Eø t;õs 3» PAÇE ¿ÿMüë È èYe ‹tPA¢Ä ÇfË \A Ç}¸5Ç ‹8( »#PAW‹»#PA‹G‹w8wT ·O ‹‡Àƒøtl Çø3Ò;D t ;D v ƒÂ(IuîƒÂØ‹ð t t ë ‹t ³ÙPAV‹N ‹6d‹=,‹?ó¤^ƒ~ t ‹v ë jj h@‹ ƒøv ÿÐƒÆ ƒ>uæZ_^É UÙ֋9MLÑÍåþ N§cÁÙÀ}8Ï&eú —æLM FÆö Ð„ç «p6 # Z B`•êJ\Ék}©'grN /q¨L'FÃÉp í ¨À¿TöÉßJÅ„‹‡0nhK\²øÍÔ¤â
Normal Distribution Gaussian Normal Random Variables Pdf
}CN WbNI["^" N«'×µ
}CN WbNI["^" N«'×µ-


The Greek Alphabet


Report Of The Western Ghat Ecology Expert Panel Gadgil Report By Friends Of Kssp Uae Issuu


Beta Distribution Wikipedia


Chebyshev S Inequality Wikipedia


Bxcynz Hybrid Graphenylene Stability And Electronic Properties Rsc Advances Rsc Publishing


Computation And Simulation Of Evolutionary Game Dynamics In Finite Populations Scientific Reports


Log Id Versus V G V T Plot For The N Channel A L 1 M M Download Scientific Diagram


Conductive Mofs With Photophysical Properties Applications And Thin Film Fabrication Springerlink


When A Particle Carrying A Charge Of 0 Mu C Moves At An Angle 30


Localnorm Robust Image Classification Through Dynamically Regularized Normalization Arxiv Vanity


Solved A Suppose That Have X1 X2 N M S2 And Tes Chegg Com


Osa Stepwise Technique For Accurate And Unique Retrieval Of Electromagnetic Properties Of Bianisotropic Metamaterials


Electronic And Photocatalytic Properties Of N F Co Doped Anatase Tio2 Rsc Advances Rsc Publishing


Service Capacity Competition With Peak Arrivals And Delay Sensitive Customers Pdf Free Download


Beta Distribution Wikipedia


Top Pdf N Donor Ligand 1library


Cyclotomic Polynomial Wikipedia


Exact Quasi Relativistic Wavefunctions Of Hydrogen Like Atoms Scientific Reports


2 1 Random Variables And Probability Distributions Introduction To Econometrics With R


Expected Value Of A Binomial Variable Video Khan Academy


Methane Monooxygenase An Overview Sciencedirect Topics


Fermat S Last Theorem Wikipedia


The Greek Alphabet


Normal Distribution Gaussian Normal Random Variables Pdf


Solved Let X N M S Denote A Normal Random Variable W Chegg Com


Search For Heavy Neutral Leptons In Decays Of W Bosons Produced In 13 Tev Pp Collisions Using Prompt And Displaced Signatures With The Atlas Detector Cern Document Server


Computation And Simulation Of Evolutionary Game Dynamics In Finite Populations Scientific Reports


Common Prefixes Value Name Symbol Nano N Micro µ Milli M Centi


Basic Concepts Of The Poisson Process


8 1 A Single Population Mean Using The Normal Distribution Introduction To Statistics


A Single Population Mean Using The Normal Distribution Introduction To Statistics


Crystal Structure Of Di M Acetato Diacetatobis M 6 6 Dimethoxy 2 2 Propane 1 3 Diylbis Azanylylidene Bis Methanylylidene Diphenolato Tetrazinc


3 2 2 Binomial Random Variables Stat 500


A Find The Conductivity Of Intrinsic Silon At 300k It Is Given


Sample Size For A Given Margin Of Error For A Mean Video Khan Academy


Enhanced Flux Pinning Isotropy By Tuned Nanosized Defect Network In Superconducting Yba 2 Cu 3 O 6 X Films Scientific Reports


Answered 1 Recall That We Write X N µ 0 For Bartleby


Solved 1 Let 2 F P Be A Probability Space A Show T Chegg Com


Solved Let X1 Be A Random Sample Of Size N Chegg Com


A Complete Hierarchy For The Pure State Marginal Problem In Quantum Mechanics Nature Communications


Amt A Cloud Identification Algorithm Over The Arctic For Use With tsr Slstr Measurements


Ta2 Mediated Ammonia Synthesis From N2 And H2 At Ambient Temperature Pnas


Ir Spectra In The Carbonyl Region A Os 3 Co 10 µ 3 H 2 C 14 H Download Scientific Diagram


Unusual Reactions Of M Phthalazine N2 N3 Fe2 M Co Co 6 With Organolithium Reagents A Novel Coordination Mode Of 1 2 Diazane Diiron Carbonyl Compounds Dalton Transactions Rsc Publishing


A Real And Imaginary Part Of N Eff B Attenuation Constants At Download Scientific Diagram


Solved Normal Distribution X N M S2 F X V2ps E 2 Chegg Com


Osa Stepwise Technique For Accurate And Unique Retrieval Of Electromagnetic Properties Of Bianisotropic Metamaterials


Terminal Borylene Complexes As A Source For The Borylene B N Sime3 2 Alternative Synthesis And Structure Of Oc 5cr B N Sime3 2 Braunschweig 01 Angewandte Chemie International Edition Wiley Online Library


Design Of Two Dimensional Carbon Nitride Structures By Tuning The Nitrogen Concentration Npj Computational Materials


Solved 1 6 Pts Let X N M S P X 13 4 0 8531 A Chegg Com


Bias Of An Estimator Wikipedia


Influence Percentage Of Parameters In Different Concentrations A M B Download Scientific Diagram


Convex Pencils Of Real Quadratic Forms Springerlink


Normal Distribution Gaussian Normal Random Variables Pdf


Qok S Wk Vzum Aeatu S Eum A D Vk Pdf Bezmaksas Lejupielade


Chapter 4


Stats Year 2 Ch3 Flashcards Quizlet


Binomial Distribution Wikipedia


Why Sample Variance Is Divided By N 1 By Eden Au Towards Data Science


Central Limit Theorem


Coatings Free Full Text Acrylic Pressure Sensitive Adhesive Reinforced With Aluminum Nitride And Its Thermal Properties Effect Of Surface Treatment And Particle Size


Feynman Diagrams For B Decays Involving An Intermediate Heavy Neutrino Download Scientific Diagram


Solved Let X Be Multivariate Normal X N M S With 0 Chegg Com


N Phenethyl Substitution In 14 Methoxy N Methylmorphinan 6 Ones Turns Selective µ Opioid Receptor Ligands Into Dual µ D Opioid Receptor Agonists Scientific Reports


Machine Learning Design Of R C Columns Sciencedirect


Central Limit Theorem


Pdf Three Dimensional Bimetallic Octacyanidometalates Miv M Cn 4mnii H2o 2 2 4h2o N M Nb Mo W Synthesis Single Crystal X Ray Diffraction And Magnetism Semantic Scholar


Basic Concepts Of The Poisson Process


Support Vector Machines Ppt Download


Variance Wikipedia


Dhanaha St Thomas Cathedral Irinjalakuda Pdf Free Download


N Methyl Anilinoborane Monomer Dimers Molecular Structure And Rearrangement Into M N Methyl Anilino Diborane 6 A Convenient Route To M Amino Diboranes 6 Wrackmeyer 11 Zeitschrift F 252 R Anorganische Und Allgemeine Chemie Wiley


Sampling Distribution Of Sample Proportion Part 1 Video Khan Academy


Page 24 Nis Malayalam September 16 30


Facile Fabrication Of Boron And Nitrogen Co Doped Carbon Fe2o3 Fe3c Fe Nanoparticle Decorated Carbon Nanotubes Three Dimensional Structure With Excellent Microwave Absorption Properties Sciencedirect


Results For The Ratios R R C And R B With M W Calculated From G M Download Scientific Diagram


Bias Of An Estimator Wikipedia


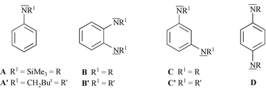
A Comparative Study Of The Behaviour Of N Trimethylsilyl And N Neopentyl Anilines And 1 2 Diaminobenzenes Towards Trimethylalane X Ray Structures Of Nine Al N Compounds Dalton Transactions Rsc Publishing


Normal Distribution Gaussian Normal Random Variables Pdf


Top Pdf Crystal Structure Of 1r 2r N N Bis Quinolin 2 Yl Methyl Cyclohexane 1 2 Diamine Chloridoiron Iii M Oxido Trichloridoferrate Iii Chloroform Monosolvate 1library


Finding The Mean And Standard Deviation Of A Binomial Random Variable Video Khan Academy


Dhanaha St Thomas Cathedral Irinjalakuda Pdf Free Download


Binomial Distribution Wikipedia


Example Constructing A T Interval For A Mean Video Khan Academy


Ds Mcq


Variance Wikipedia


The Influence Of A Fermi Energy M B Thickness Of Dielectric Dmd And C Download Scientific Diagram


Central Limit Theorem


コメント
コメントを投稿